GB17395-1988無縫鋼管允許偏差
根據中華人民共和國國家標準GB-17395-1988
無縫鋼管外徑允許偏差
表1:標準化外徑允許偏差鋼管重量
鋼管按實際重量交貨.也可按理論重量交貨。實際重量交貨可分為單根重量或每批重量兩種。
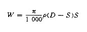
鋼管每米的理論重量按式 (1)計算:

式中:W——鋼管理論重量。kg/m;
π=3.1416:
ρ——鋼的密度.kg/dm 3;
D——鋼管公稱外徑,mm
S——鋼管公稱壁厚 mm。
按理論重量交貨的鋼管.單根鋼管理論重量與實際重量的允許偏差分為五級(見表12)。
按理論重量交貨的鋼管,每批不小于10 t鋼管的理論重量與實際重量允許偏差為±7.5%或±5%。
偏差等級 |
壁厚允許偏差 |
|
S/D |
|
0.1< S/D |
0.05<S/D≤0.1 |
0.025<S/D≤0.05 |
S/D≤0.025 |
|
S1 |
± 15%,最小±0.6 mm |
|
S2 |
A |
±12.5%,最小±0.4 mm |
|
B |
+正偏差取決于重量要求
-12.5 |
|
S3 |
A |
± 10%,最小± 0.2mm |
|
B |
± 10% |
± 12.5% |
± 15% |
|
最小± 0.4mm |
|
C |
+正偏差取決于重量要求 -10% |
|
S4 |
A |
± 7.5%, 最小± 0.15 mm |
|
B |
± 7.5% |
± 10% |
± 12.5% |
± 15% |
最小±0.2 mm |
|
S5 |
± 5%,最小± 0.10 mm |
|
注:S是鋼管公稱壁厚,D是鋼管公稱外徑。 |
|
|
|
|
|
|
|
|
|
|
|
|
無錫市啟程合金高壓鋼管有限公司常年銷售φ外徑8-1240mm,壁厚1-200mm的各種材質的江蘇無縫管 無錫合金鋼管 無錫高壓鍋爐管 江蘇厚壁無縫管 精密無縫管廠.鋼管長度可5.8米定尺,6米定尺,以及長達16米定尺,還可根據用戶需要定尺. 主營材質:10#、20#、45#、20G、40Cr、20Gr、16Mn-45Mn、27SiMn、Cr5Mo、12CrMo(T12)、12Cr1MoV、12Cr1MoVG、10CrMo910、 15CrMo、35CrMo、40CrMo等.
無錫市啟程合金高壓鋼管有限公司 一部銷售熱線:0510-88264321 13382886444 二部銷售熱線:0510-88268567 18014258567 三部銷售熱線:0510-88268136 18921511196 四部銷售熱線:0510-88269158 13812042226 傳真:0510-88269156 88267553 地址:無錫市錫山區(qū)東亭鎮(zhèn)友誼路288號友誼鋼材市場 網址:www.www.bustone.com.cn www.wx-wfgg.com
江蘇無縫管 無錫合金鋼管 無錫高壓鍋爐管 無錫厚壁無縫管 精密無縫鋼管廠
|